• Alkoholkonsum und -abhängigkeit
  • EU-Fortbildung
16. April 2018

Alkoholkonsum und Alkoholabhängigkeit in Deutschland

© YakobchukOlena / iStock / Thinkstock
Alkohol ist die am weitesten verbreitete psychoaktive Substanz in Deutschland. Alkoholische Getränke sind Teil der deutschen Ess- und insbesondere der Freizeitkultur in allen Altersgruppen ab dem Jugendalter; Alkoholkonsum ist in allen Gesellschaftsschichten akzeptiert. Anders sieht es mit der Alkoholabhängigkeit aus: Obwohl regelmäßiger Alkoholkonsum verbreitet ist, werden die gesundheitlichen, sozialen und gesellschaftlichen Folgen weitgehend ausgeblendet.

Ethanol – der in alkoholischen Getränken enthaltene Alkohol – ist eine wasserlösliche Substanz, die vorrangig aus dem Dünndarm, aber auch aus dem Magen absorbiert wird. Durch Faktoren wie ein geringeres Körpergewicht oder den geringeren Wasseranteil im weiblichen Körper führt die gleiche Konsummenge bei Frauen zu einer höheren Blutalkoholkonzentration als bei Männern. Zudem wird die Resorption von weiteren Faktoren wie der Magenfüllung oder der Einnahme von Medikamenten beeinflusst.

Rauscherleben

Über den Blutkreislauf verteilt sich Ethanol im Körper, passiert die Blut-Hirn-Schranke und gelangt ins Gehirn. Dort führt es zu einer Dopamin-Ausschüttung im Nucleus accumbens, einer zentralen Struktur des Belohnungssystems. Dieser Prozess ist maßgeblich am akuten Rauscherleben beteiligt. Chronischer Alkoholkonsum verändert jedoch die Wirkweise des Belohnungssystems, sodass dieses sich bei regelmäßiger Alkoholaufnahme weniger leicht durch andere positive Reize aktivieren lässt. Zudem ist eine immer höhere Alkoholdosis notwendig, um das Belohnungssystem in gleicher Stärke zu aktivieren. Diese Veränderungen spielen eine zentrale Rolle bei der Entstehung einer Abhängigkeit.

Abbau in der Leber

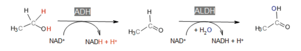
Die Metabolisierung von Ethanol findet vorrangig in den Leberzellen in zwei Oxidationsreaktionen statt (• Abbildung 1). Katalysiert durch das Enzym Alkoholdehydrogenase (ADH) wird zunächst Ethanol in Acetaldehyd umgewandelt.

Acetaldehyd ist toxisch und kann u. a. zu gravierenden Leberschäden führen.

Im zweiten Schritt katalysiert das Enzym Acetaldehyddehydrogenase (ALDH) die Umwandlung von Acetaldehyd in Acetat. Dieses wird über den Carbonsäurezyklus direkt in Energie umgewandelt oder zum Aufbau von Fett genutzt. Bei diesen chemischen Reaktionen entstehen zahlreiche Nebenprodukte, die zur Entwicklung von Stoffwechselerkrankungen beitragen können. Wie lange es dauert, bis im Blut zirkulierendes Ethanol und Acetaldehyd vollständig abgebaut werden, ist abhängig von der aufgenommenen Alkoholmenge. Die Geschwindigkeit und Effizienz der Metabolisierungsprozesse wird dabei durch die genetische Disposition eines Menschen mitbestimmt.

Zusätzlich zu ADH kann Ethanol in der Leber auch durch Cytochrom P450 2E1 (CYP2E1), auch bekannt als Mikrosomales Ethanoloxidierendes System (MEOS), zu Acetaldehyd metabolisiert werden. Im Gegensatz zu ADH ist CYP2E1 induzierbar und chronischer Alkoholkonsum verstärkt seine Aktivität. Eine Induktion kann schon bei relativ geringen Mengen erreicht werden, wenn diese regelmäßig konsumiert werden. Bspw. kann dazu ein täglicher Alkoholkonsum über die Dauer einer Woche ausreichen. Regelmäßige Alkoholkonsumenten benötigen deshalb eine höhere Alkoholmenge, um eine bestimmte Blutalkoholkonzentration zu erreichen.

Beim Alkoholabbau durch MEOS werden freie Radikale freigesetzt, die Zellen schädigen und so zur Krebsentstehung beitragen können. Zudem aktiviert CYP2E1 eine Vielzahl von Toxinen und Prokarzinogenen.

Abb. 1: Metabolisierungsprozess von Ethanol durch ADH und von Acetaldehyd durch ALDH ADH = Alkoholdehydrogenase; ALDH = Acetaldehyddehydrogenase